Discrete Fourier Series
DTFT는 연속 주파수 변수의 함수이고 디지털 컴퓨터를 사용해서 값의 연속을 계산할 수 없기 떄문에 분석에 실용적이지 않을 수 있다.
DFS는 주기적인 무한-지속 이산 시간 신호에 대한 주파수 분석 도구이다. 주파수가 이산적이므로 실용적이다.
DFS는 아래와 같이 푸리에 급수에서 유도할 수 있다.
x̄[n]을 기본 주기 N을 갖는 주기적 수열이라고 하자. 여기서 N은 양의 정수이고 r은 임의의 정수이다.

다음과 같은 N개의 고유한 복소수 지수, e^(2π/N(0)), e^(2π/N(1)), ... , e^(2π/N(N-1))를 선택하면, 위 식의 무한 합은 아래 식과 같이 감소한다.

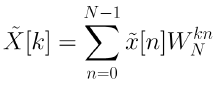
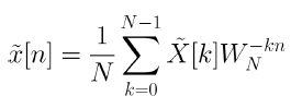
x̄[k] = Nak (k = 0, 1, ... , N-1)을 DFS 계수로 정의하면 역 DFS의 공식은 아래와 같다.

아래의 식도 주기 N을 가지고 주기적이다.

아래의 조건일 때,

DFS 분석 및 합성쌍은 아래 두 식과 같다.



DTFT와의 관계
x[n]을 주기 N의 주기적 수열 x̄[n]에서 추출한 유한 기간 수열이라고 하자.

DTFT는 아래의 식과 같다.

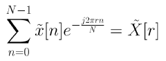
위의 두 식을 이용하면 아래의 식을 유도할 수 있다.

DFS와 DTFT를 이용하면 아래와 같다.

즉, x̄[k]는 2π/N의 균일한 주파수 간격으로 0 < w < 2π 범위의 개별 주파수에서 샘플링된 X(e^jw)와 같다.
유한 기간 수열 x[n]의 X(e^jw) 또는 DTFT 샘플은 x[n]의 주기적 확장인 무한 기간 주기 수열 x̄[n]의 DFS를 사용하여 계산할 수 있다.
z Transform과의 관계
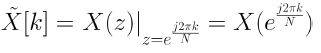
X(e^jw)는 x[n]의 z 변환과도 관련이 있다.

x̄[k]은 아래와 같이 X(z)와 관련이 있다.

즉, x̄[k]는 단위원의 N개의 같은 간격 점, 즉 1, e^(j2π/N), ... , e^(j2(N-1)π/N)에서 계산된 X(z)와 같다.

Properties of DFS
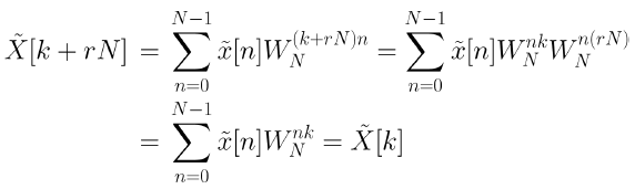
1. Periodicity


2. Linearity

3. Shift of Sequence

4. Duality

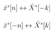
5. Symmetry

6. Periodic Convolution

'Theory > DSP' 카테고리의 다른 글
| [MATLAB 실습 07] DFT / FFT (22.11.09) (0) | 2023.06.14 |
|---|---|
| 08 Discrete Fourier Series (22.11.07) (1) | 2023.06.14 |
| [MATLAB 실습 06] z Transform (22.11.02) (0) | 2023.05.02 |
| 06 z Transform - 2 (22.10.31) (0) | 2023.05.02 |
| 05 z Transform - 1 (22.10.31) (0) | 2023.05.02 |
댓글