z Transform
x[n]의 z 변환인 X(z)는 아래와 같이 정의된다.
z는 연속 복소수 변수이다.
Relationship with Fourier Transform
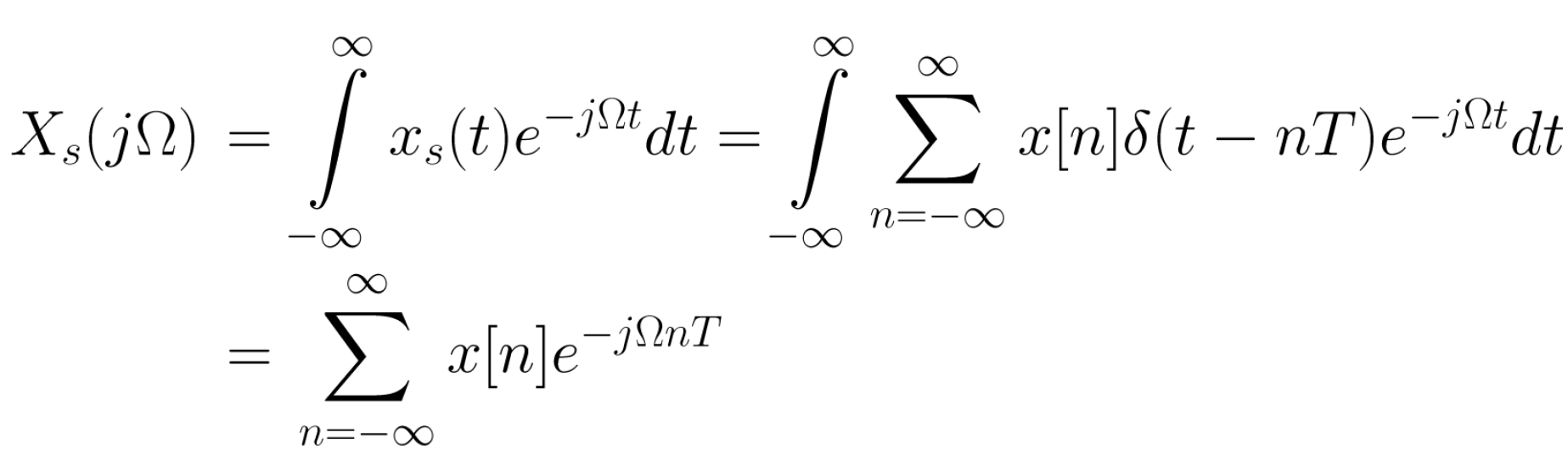
x[n]에서 샘플링 간격 T로 연속 시간 샘플링 신호 xs(t)를 만들면 아래와 같다.
델타(t)의 속성을 사용하여 xs(t)의 푸리에 변환을 취하면 아래와 같다.
w=ΩT를 이산 시간 주파수 매개변수로 정의하고 Xs(jΩ)를 X(e^jw)로 하면 위의 식은 아래와 같다.
이것은 이산 시간 푸리에 변환(DTFT) 또는 이산 시간 신호의 푸리에 변환으로 알려져 있다.
X(e^jw)는 주기가 2π이다.
k가 임의의 정수이고 z는 연속 복소수 변수이므로 아래와 같이 z를 표현할 수 있다.
여기서 r = |z| > 0은 크기이고 w = ∠(z)는 z의 각도이다. 위의 식을 이용하면 z 변환은 아래와 같이 나타낼 수 있다.
이것은 x[n] * r^(-n)의 DTFT와 동일하다.
Region of Convergence (ROC)
ROC는 z 변환이 수렴하는 시기를 나타낸다. 일반적으로 아래에 해당되는 일부 z가 존재한다.
이 경우는 z 변환이 수렴하지 않는 경우이다.
X(z)가 수렴하는 값 집합 또는 아래의 식일 경우 ROC라고 한다.
z 변환이 완전하려면 X(z)도 함께 지정되어야 한다.
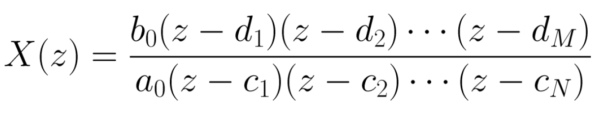
Poles and Zeros
X(z) = 0인 z의 값들을 X(z)의 zeros라고 한다.
X(z) = ∞인 z의 값들을 X(z)의 poles라고 한다.
P(z)와 Q(z)를 이용하여 위의 식은 아래와 같이 표현된다.
Finite-Duration and Infinite-Duration Sequences
Finite-duration sequence인 경우, x[n]의 값은 유한한 시간 간격 동안만 0인 것은 아니다.
그렇지 않으면, x[n]을 infinite-duration sequence라고 한다.
Eight ROC properties
- ROC에는 네 가지 가능한 모양이 있다. z = 0 또는/그리고 z=∞을 제외한 전체 영역, 링 또는 원점을 중심으로 하는 -평면의 원 내부 또는 외부
- x[n]의 DTFT는 x[n]의 z 변환의 ROC가 단위원을 포함하는 경우에만 존재한다.
- ROC는 극점을 포함할 수 없다.
- x[n]이 finite-duration sequence인 경우, ROC는 z=0 또는/그리고 z=∞을 제외한 전체 z 평면이다.
- x[n]이 right-sided sequence인 경우, ROC는 |z| > |pmax| 이다. ( |pmax| 는 X(z)에서 가장 큰 크기를 가진 극점)
- x[n]이 left-sided sequence인 경우, ROC는 |z| < |pmax| 이다. ( |pmax| X(z)에서 크기가 가장 작은 극점)
- x[n]이 two-sided sequence인 경우, ROC는 |pa| < |z| < |pb| (pa와 pb는 |pa| < |pb| )
- ROC는 연결된 부분이어야 한다.
'Theory > DSP' 카테고리의 다른 글
[MATLAB 실습 06] z Transform (22.11.02) (0) | 2023.05.02 |
---|---|
06 z Transform - 2 (22.10.31) (0) | 2023.05.02 |
[MATLAB 실습 05] DTFT (22.10.26) (0) | 2023.05.02 |
04 Discrete-Time Fourier Transform (DTFT) (22.10.24) (0) | 2023.05.02 |
[MATLAB 실습 04] 이산 시간 푸리에 해석 (22.10.19) (0) | 2023.04.30 |
댓글