DSP 이론 학습을 마친 후, MATLAB 사용법을 추가적으로 학습하여 DSP 실습을 진행해보았다.
실습은 《MATLAB을 이용한 디지털 신호처리 (저자 Viny K. Ingle, 출판사 Cengage Learning)》 책의 예제와 연습문제로 진행해보았다.





















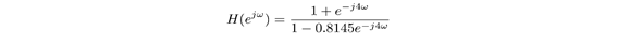
y(n)-0.8145y(n-4) = x(n)+x(n-4)




크기는 10배 가량 증폭되었고 x(n)과 출력 y(n)의 그래프의 형태는 거의 같다.
'Theory > DSP' 카테고리의 다른 글
| 08 Discrete Fourier Series (22.11.07) (1) | 2023.06.14 |
|---|---|
| 07 Discrete Fourier Series (22.11.07) (0) | 2023.06.14 |
| 06 z Transform - 2 (22.10.31) (0) | 2023.05.02 |
| 05 z Transform - 1 (22.10.31) (0) | 2023.05.02 |
| [MATLAB 실습 05] DTFT (22.10.26) (0) | 2023.05.02 |
댓글