Filter Implementation
인과 관계를 가정할 때 LTI 필터는 전달 함수 H(z)로 고유하게 특성화 할 수 있다.

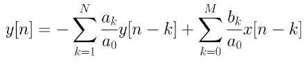
아래는 해당 차분 방정식이다.

여기서 x[n] 및 y[n]은 시스템 입력 및 출력이다.
a0 ≠ 0이라고 가정하면 출력은 아래와 같다.

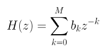
ak/a0 → ak 와 bk/b0 → bk 이면 아래와 같다.

y[n], y[n-1], y[n-2], ... , y[n-N] 계산에는 x[n], x[n-1], x[n-2], ... , x[n-M]가 포함된다.
즉, 우리는 Delay elements or storage, Multipliers(승수), Adders(가산기)가 필요하다.
y[n]의 계산은 동일한 차분 방정식을 제공하기 위해 다른 방식으로 배열될 수 있으며, 이는 이산 시간 LTI 시스템의 구현을 위한 다른 구조로 이어진다.
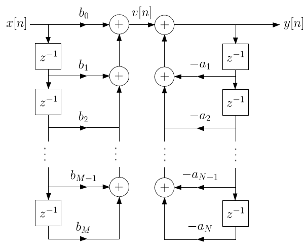
구현의 4가지 기본 형식, 즉 직접 형식, 표준 형식, 캐스케이드 형식 및 병렬 형식에 대해 살펴보자.
구현은 블록 다이어그램 또는 신호 흐름 그래프를 사용하여 나타낼 수 있다.
Block Diagram Representation

Signal Flow Graph Representation

Structures for FIR Filter
FIR 필터의 경우 전달 함수에 극점이 포함되지 않는다.

즉, 위의 식에서 a0 = 1 및 a1 = a2 = ... = aN = 0으로 설정하면 FIR 시스템이 생성된다.

차분 방정식은 아래와 같다.

1. Direct Form


구현에는 x[n]의 M 이전 입력, (M + 1) 곱셈 및 y[n]의 각 출력 값을 계산하기 위한 M 덧셈을 저장하기 위한 M 메모리 위치가 필요하다.

2. Cascade Form



Structures for IIR Filter
H(z)에 극이 하나 이상 있으면 IIR 필터에 해당한다. 따라서 해당 전달 함수는 아래와 같다.

즉, IIR 필터는 모든 이산시간 LTI 시스템의 일반적인 형태이다.
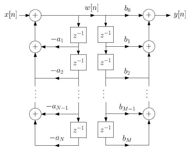
1. Direct Form





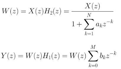
2. Canonic Form




3. Cascade Form


4. Parallel Form

'Theory > DSP' 카테고리의 다른 글
| [MATLAB 실습 10] DTMF 디코더 구현 (22.11.30) (1) | 2023.06.14 |
|---|---|
| [MATLAB 실습 09] 샘플링 주파수 변경 (22.11.23) (0) | 2023.06.14 |
| [MATLAB 실습 08] ECG 잡음제거 (22.11.16) (0) | 2023.06.14 |
| 09 Responses of Digital Filters (22.11.14) (0) | 2023.06.14 |
| [MATLAB 실습 07] DFT / FFT (22.11.09) (0) | 2023.06.14 |
댓글