이산 시간 신호
이산 시간 신호는 MATLAB과 같은 컴퓨팅 소프트웨어를 사용하여 생성할 수 있는데 그렇게하면 실제 세계에서 연속 시간 신호를 샘플링하여 얻을 수도 있다.

이산 시간 신호 x(nT)는 t = nT인 샘플링 간격에서 x(t)와 동일하다. 여기서 T는 샘플링 주기라고 부른다.

x[n]은 ... x[-1], x[0], x[1], x[2], ... 와 같은 일련의 숫자이며, n은 시간 인덱스이다.
Unit Sample (or Impulse)와 Unit Step

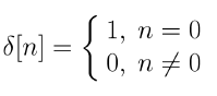
델타[n]은 연속 시간 Unit Impulse인 델타(n)과 비슷하다.
u[n] 또한 이전 게시글에서 설명한 u(t)와 비슷하다.
관련 내용은 이전 게시글을 참고하길 바란다.
이전글 링크 : 01 Analog Signal Analysis (23.09.26)
델타[n]은 모든 이산 시간 함수 x[n]의 빌딩 블록 역할을 하기 때문에 매우 중요한 함수이다.

예를 들어 u[n]은 델타[n]으로 아래와 같이 표현할 수 있다.

반대로 u[n]으로도 델타[n]을 표현할 수 있다.

Discrete-Time Systems
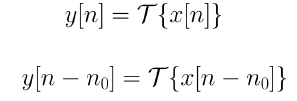
이산 시간 시스템은 입력 x[n]이 출력 y[n]으로 나오는 연산자 T이다.

Memoryless
시간 n에서 y[n]은 시간 n에서의 x[n]에만 의존
Linear
y1[n] = T{x1[n]} 이고 y2[n] = T{x2[n]} 이면, T{ax1[n] + bx2[n]} = aT{x1[n]} + bT{x2[n]} = ay1[n] + by2[n]
Time-Invariant
입력 시간 이동이 발생하면 출력 시간 이동이 동일하게 발생

Causal
시간 n에서의 출력 y[n]은 시간 n까지의 입력 x[n]에 의존
LTI System은 임펄스 응답이 아래를 만족하는 경우 인과적

Stable
bounded 입력 x[n] (|x[n]| < ∞)이 들어가면 bounded 출력 y[n] (|y[n]| < ∞)이 나온다.
LTI system에서 Stability는 아래와 같다.

Convolution

Commutative


Linearity

Linear Constant Coefficient Difference Equations (차등 방정식)

입력 x[n]과 출력 y[n]은 N차 선형 상수 계수 차등 방정식으로 표현할 수 있다.
위의 식은 시스템이 선형인지와 시불변인지의 여부를 확인할 때 매우 유용하다.
'Theory > DSP' 카테고리의 다른 글
| [MATLAB 실습 03] 이산 시간 신호 및 시스템 (22.10.12) (0) | 2023.04.30 |
|---|---|
| [MATLAB 실습 02] 이산 시간 신호 및 시스템 (22.10.05) (0) | 2023.04.30 |
| [MATLAB 실습 01] 이산 시간 신호 및 시스템 (22.09.28) (0) | 2023.04.30 |
| [MATLAB 연습] 기초 예제 (22.09.28) (0) | 2023.04.30 |
| 01 Analog Signal Analysis (22.09.26) (0) | 2023.04.29 |
댓글