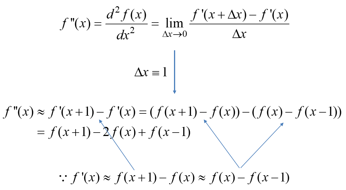
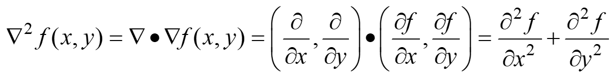
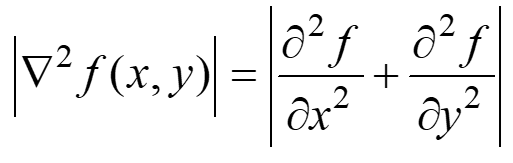
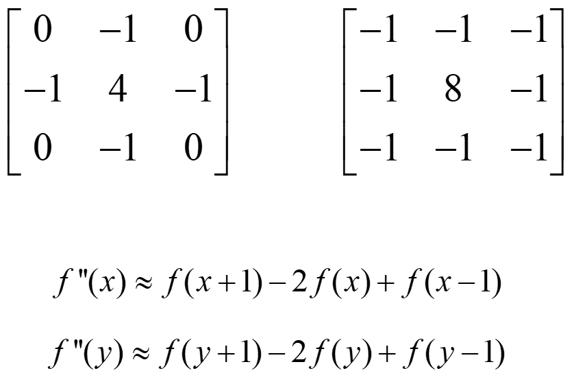
라플라시안 연산자
- 2차 미분 연산자

- 방향이 없고 크기만 존재

- 에지 : 라플라이안 연산 결과의 절대치

- 경계부근에 2중 에지 생성



기타 연산자

- 에지 검출을 위한 다양한 마스크 : 그라디언트 연산자와의 차이점
- 그라디언트는 바로 이웃한 픽셀 사이의 차이를 계산
- Prewit, Roberts, Sobel은 그라디언트와 유사한 연산을 3개 쌍의 합으로 계산 → 평균효과가 있음 → 잡음에 상대적으로 강인함
- 예를 들어, Prewit의 수직경계 연산자
- 3개 행(y-1, y, y+1)의 x방향 기울기를 합하는 연산에 해당

- 소벨 연산자 실행 결과


'Theory > Image Processing' 카테고리의 다른 글
| 11 중간값 필터 (22.11.11) (0) | 2023.06.22 |
|---|---|
| 10 선명화 처리 (22.11.04) (0) | 2023.06.22 |
| 08 에지 검출 (미분 연산자) (22.10.28) (0) | 2023.06.21 |
| 07 필터링(마스킹) (22.10.21) (0) | 2023.06.21 |
| 06 평균 필터 (22.10.14) (0) | 2023.06.21 |
댓글