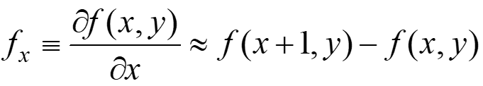
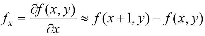
- 미분 연산자
- X방향 기울기

- Y방향 기울기
- 그라디언트 (gradient) : x, y 방향 기울기
- 그라디언트의 크기 성분
- 계산량 감소를 위해 절대치의 합으로 처리하는 경우가 많음

- 그라디언트의 방향 성분
실행 결과
'Theory > Image Processing' 카테고리의 다른 글
10 선명화 처리 (22.11.04) (0) | 2023.06.22 |
---|---|
09 에지 검출 (라플라시안 & 기타 연산자) (22.10.28) (0) | 2023.06.21 |
07 필터링(마스킹) (22.10.21) (0) | 2023.06.21 |
06 평균 필터 (22.10.14) (0) | 2023.06.21 |
05 히스토그램 평활화 (22.10.07) (0) | 2023.06.21 |
댓글