Sampling
연속 시간 신호 x(t)를 이산 시간 신호 x[n]으로 변환하는 과정
x[n]은 샘플링 주기 또는 간격인 T마다 x(t)를 추출하여 얻는다.

x(t)와 x[n]의 관계는 아래와 같다.

개념상으로는 x(t)에서 x[n]으로의 변환은 연속 시간에서 이산 시간으로 변환해주는 변환기로 가능하다.


근본적으로 우리는 x[n]이 x(t)를 고유하게 나타낼 수 있는지 또는 x[n]을 사용하여 x(t)를 재구성할 수 있는지의 여부이다.
아래의 두 가지 조건이 만족하면 재구성할 수 있다.
- x(t)는 Ω ≥ Ωb에 대해 푸리에 변환 X(jΩ)가 0이 되도록 대역이 제한 (Ωb는 대역폭)
- 샘플링 주기 T가 충분히 작음.
Frequency Domain Representation of Sampled Signal
시간 영역에서, xs(t)는 x(t)에 inpulse train을 곱하여 얻을 수 있다.


라디안으로 표현하면 Ωs = 2π/T, Fs = 1/T = Ωs/(2π) 이다.

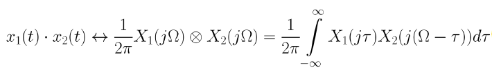
푸리에 변환의 Multiplication Property를 사용하면 아래와 같다.

컨볼루션 연산은 연속 시간 신호와 유사하다.

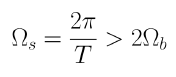
X(jΩ)/T의 모든 복사본들이 겹치지 않도록 Ωs를 충분히 크게 한 경우에는, Ωs - Ωb > Ωb or Ωs > 2Ωb이고 Xs(jΩ)에서 X(jΩ)를 얻을 수 있다.

하지만 Ωs < 2Ωb와 같이 그렇지 않은 경우 X(jΩ)/T의 복사본들이 겹치게 되고, Aliasing이라는 현상이 발생하여 Xs(jΩ)에서 X(jΩ)를 얻을 수 없다.

Nyquist Sampling Theorem
x(t)를 아래와 같은 대역 제한이 있는 연속 시간 신호라고 해보자.

그러면 x(t)는 이것의 샘플들인 x[n] = x(nT), n = ... -1, 0, 1, 2, ... 으로 유일하게 결정된다.

대역폭 Ωs는 Nyquist 주파수라고도 하며, 2Ωs는 Nyquist 속도라고 하는데, Ωs는 Aliasing을 피하기 위해 이를 초과해야 한다.

Reconstruction
x[n]을 다시 x(t)로 복원하는 과정

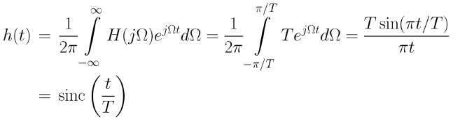
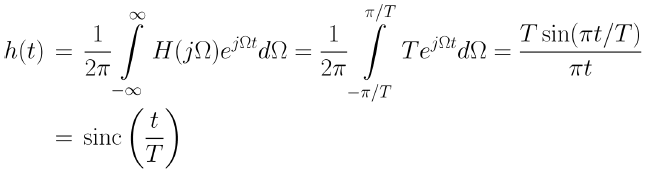
H(jΩ)는 Ωb < Ωc < Ωs - Ωb일 때 아래와 같다.

단순하게 만들기 위해 Ωc를 Ωb와 (Ωs - Ωb)의 평균으로 설정하면 아래와 같다.

h(t)를 얻기 위해서 H(jΩ)의 푸리에 역변환을 이용하면 sinc(u) = sin(πu)/(πu)일 때, 아래와 같다.


△ = mT일 때, 시간 이동된 신호는 x[n]을 m 샘플만큼 이동하여 얻는다.

Sampling and Reconstruction in Digital Signal Processing

- CD 컨버터는 x(t)로부터 x[n]을 만들어낸다.
- x[n]은 이산 시간 영역에서 처리되어 y[n]을 만들어낸다.
- DC 컨버터는 아래의 식을 이용하여 y[n]으로부터 y(n)을 만들어낸다.


- x(t)는 정확하게 대역이 제한되지 않을 수 있다. x(t)를 처리하려면 저역 통과 필터 또는 안티-앨리어싱 필터가 필요하다.
- 이상적인 CD 변환기는 AD 변환기로 근사치를 만들어낸다.
- 이상적인 DC 변환기는 이상적인 복원이 불가능하기 때문에 DA 변환기로 근사치를 만들어낸다.
- x[n]과 y[n]은 양자화된 신호들이다.
'Theory > DSP' 카테고리의 다른 글
| 04 Discrete-Time Fourier Transform (DTFT) (22.10.24) (0) | 2023.05.02 |
|---|---|
| [MATLAB 실습 04] 이산 시간 푸리에 해석 (22.10.19) (0) | 2023.04.30 |
| [MATLAB 실습 03] 이산 시간 신호 및 시스템 (22.10.12) (0) | 2023.04.30 |
| [MATLAB 실습 02] 이산 시간 신호 및 시스템 (22.10.05) (0) | 2023.04.30 |
| [MATLAB 실습 01] 이산 시간 신호 및 시스템 (22.09.28) (0) | 2023.04.30 |
댓글