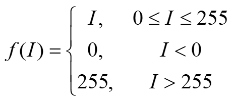
클리핑
- 픽셀 밝기값이 표현 범위를 넘어가는 경우, 표현 범위 내로 값을 변환
- 일반적인 영상의 경우, 픽셀이 8비트로 표현됨
- 따라서 밝기값의 범위는 0~255
- (참고) 8비트 이상의 비트로 표현되는 경우도 있음(예 : HDR(high dynamic range) 영상의 경우 8비트 이상임)

사례



- 프로그래밍 : 밝기값 표현 범위를 벗어나는 경우 색이 반전되는 이유
- 밝기값이 255를 초과하는 경우, (예) 밝기값이 257 인 경우, 2진수로 표현하는 아래와 같음
- 밝기값이 0미만인 경우, (예) 밝기값이 -2 인 경우, 2진수로 표현하는 아래와 같음(2의 보수 표현)


- 클리핑 구현

'Theory > Image Processing' 카테고리의 다른 글
| 06 평균 필터 (22.10.14) (0) | 2023.06.21 |
|---|---|
| 05 히스토그램 평활화 (22.10.07) (0) | 2023.06.21 |
| 04 스트레칭 (22.09.30) (0) | 2023.06.21 |
| 02 영상 혼합 (22.09.16) (0) | 2023.06.21 |
| 01 픽셀값 다루기 (22.09.09) (0) | 2023.06.21 |
댓글